● 全国交通职业教育教学指导委员会主任单位

● 北京市交通委直属的唯一公办高职

● 北京市特色高水平职业院校

● 北京交通职教集团核心校

新闻中心

2019年普通高职优秀应届毕业生升入本科院校推荐报名考试实施办法

2018年10月17日 作者:  来源:

为做好taptap点点201 9 年专升本推荐考试报名工作, 根据国务院《关于大力推进职业教育改革与发展的决定》精神和北京市《关于开展选拔高等职业教育(专科层次)优秀应届毕业生进入本科阶段学习试点工作的通知》(京教高[2002 ] 42号)要求,taptap点点2019年继续开展选拔高等职业教育(专科层次)优秀应届毕业生进入本科阶段继续学习(以下简称“高职升本科”)的试点工作,此项工作采取学校推荐与考试相结合的方法, 现制定taptap点点201 9 年专升本报名推荐考试实施办法:

一、推荐条件

1、遵守中华人民共和国宪法和法律;

2、身体健康;

3、taptap点点高等职业教育(专科层次)应届毕业生

4、平时学习成绩和现实表现优秀。

5、在全国英语A/B级外语考试过程中无违纪记录的学生。

6、在校期间未受到记过(含)以上处分的学生。

二、推荐办法

推荐工作由相关院系主任总负责。

相关系室将学生的思想品德、学习、体育锻炼以及参与社会工作和活动等反映学生综合素质与实践能力等情况,科学、公正地量化成综合分数,择优推荐。

推荐的学生不超过本系室本专业高职应届毕业生的15%。推荐办法、程序和名单须进行公示,推荐工作于2018年1130日前结束。

三、推荐原则
1、整个推荐全过程要公平、公正、公开、透明。
2、操行评定合格(由系部审核签字)。
3、由教务处依据推荐报名条件进行资格审查,未满足报名条件者取消专升本考试推荐报名资格。
四、排名总评成绩计算方法

1、总评成绩=学习总成绩+奖励+社会实践(学习成绩包括考试成绩、考查成绩、实习成绩、实验成绩)。
2、学习总成绩的确定方法
学习总成绩=考试课成绩+考查课×70%
3、课程单科成绩分值计算方法;
考试课期末考试成绩合格者按实际得分计算,补考合格者均按60分计算;
4、奖励折算成绩(由学生处审核)

1)在校期间受到市级各项奖励(含省级)以上奖励的同学在总评成绩的基础上加20分;不重复计算。
2)在校期间受到院级各项奖励的同学在总评成绩的基础上加10分;不重复计算。
3)积极参与社会工作于活动的同学在总成绩的基础上加5分。不重复计算。

4)如获得同类型多个奖励则按最高级别计算,所获奖励不累计。
五、有关要求
1、为了使专升本工作顺利进行,使真正优秀的学生选拔到本科院校继续深造,为国家输送优质人才,望学院的全体师生员工尽职尽责,坚决杜绝徇私舞弊行为。
2、推荐过程中,各环节要做到“三公开”:办法公开、程序公开、结果公开。
3、公示时间2018年12月1日--2017年12月8日。
4、推荐过程中的全部资料要归入档案保存备查。
5、对此项工作中的违纪行为,可通过拨打学院纪委监察处电话:
69298477进行举报,举报必须署实名,否则不予受理(举报日期2018年12月3日—12月10日)。
6、对工作流程有任何疑问,请打电话82907412询问邹璐。

                                                           教务处

                                                        2018/10/17

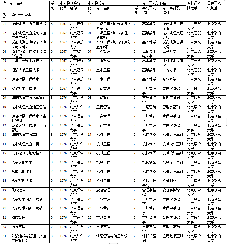
附件12019年高职升本科分专业推荐人数及考试安排一览表

附件22019年高职升本科推荐工作日程安排(系室部分)

附件3、高职升本科推荐填报表格

附件4、本科招生院校辅导班信息


附件1      2019年高职升本科分专业推荐人数及考试安排一览表

 

注:1、公共课考试科目为英语。英语去年考卷和答题卡模板另行提供。

 


附件2     

2019年高职升本科推荐工作日程安排(系室部分)

附件3    高职升本科推荐填报表格(须交电子版)

 

附件3填写的注意事项:

1、毕业专业的填写务必准确。须与附件1中所列毕业专业名称完全一致。

2、附件1中未列举的专业,将作为新申报专业。请各系部给出对接建议,由教务处上报,最终由市教委主持确定对接本科院校及对接专业。

3、综合评价意见填写内容包含学生在高职学习阶段的思想品德、学习、参与社会工作和活动等反应学生综合素质与实践能力的相关内容。(60~128字)

附件4

相关本科院校开设辅导班信息

北京联合大学

预计20192月份开设辅导班,具体请提前关注联大招生就业网站公告。

北京建筑大学

不开设辅导班。

该校往年专升本考试大纲及去年考试真题已经上传至北京建筑大学招生办公室网站资料下载一栏,该资料下载网址为:http://zsb.bucea.edu.cn/files/1/bluewise/jianzhang.jspx?nodeId=97,请通知相关学生下载复习,谢谢。

 

 

 

taptap点点体育(股份)有限公司-官方网站 版权所有 京 ICP 备 号 京公网安备 号